芯城品牌采购网 > 品牌资讯 > 元器件百科 > NTC热敏电阻器
芯城品牌采购网
27003
NTC是英文Negative Temperature Coefficient的缩写。其含义为负温度系数。
它的电阻值随温度的升高而降低。利用这一特性既可制成测温、温度补偿和控温组件,又可以制成功率型组件,抑制电路的浪涌电流(这是由于NTC热敏电阻器有一个额定的零功率电阻值,当其串联在电源回路中时,就可以有效地抑制开机浪涌电流。
并且在完成抑制浪涌电流作用以后,利用电流的持续作用,将NTC热敏电阻器的电阻值下降非常小的程度)。
| 型号 | 尺寸(mm) | ||||||
| D±1 | L1±2 | L2±1 | W±1 | A±0.5 | d±0.05 | ||
| MF71 | 2.5W | 8.5 | 30 | 2 | 4 | 5 | 0.8 |
| 3.5W | 10.5 | ||||||
| 5W | 13.5 | 5 | 7.5 | ||||
| 6.3W | 15 | 8.5 | 1 | ||||
| MF11 | 5.5 | 25 | 2 | 4 | 5 | 0.5 | |
| MF51 | 2.5±0.5 | 70±5 | —— | —— | —— | 0.3 | |
按温度特性热敏电阻可分为两类,随温度上升电阻增加的为正温度系数热敏电阻,反之为负温度系数热敏电阻。
⑴ 正温度系数热敏电阻的工作原理
此种热敏电阻以钛酸钡(BaTio3)为基本材料,再掺入适量的稀土元素,利用陶瓷工艺高温烧结尔成。纯钛酸钡是一种绝缘材料,但掺入适量的稀土元素如镧(La)和铌(Nb)等以后,变成了半导体材料,被称半导体化钛酸钡。它是一种多晶体材料,晶粒之间存在着晶粒界面,对于导电电子而言,晶粒间界面相当于一个位垒。当温度低时,由于半导体化钛酸钡内电场的作用,导电电子可以很容易越过位垒,所以电阻值较小;当温度升高到居里点温度(即临界温度,此元件的‘温度控制点’ 一般钛酸钡的居里点为120℃)时,内电场受到破坏,不能帮助导电电子越过位垒,所以表现为电阻值的急剧增加。因为这种元件具有未达居里点前电阻随温度变化非常缓慢,具有恒温、调温和自动控温的功能,只发热,不发红,无明火,不易燃烧,电压交、直流3~440V均可,使用寿命长,非常适用于电动机等电器装置的过热探测。
⑵ 负温度系数热敏电阻的工作原理
负温度系数热敏电阻是以氧化锰、氧化钴、氧化镍、氧化铜和氧化铝等金属氧化物为主要原料,采用陶瓷工艺制造而成。这些金属氧化物材料都具有半导体性质,完全类似于锗、硅晶体材料,体内的载流子(电子和空穴)数目少,电阻较高;温度升高,体内载流子数目增加,自然电阻值降低。负温度系数热敏电阻类型很多,使用区分低温(-60~300℃)、中温(300~600℃)、高温(>600℃)三种,有灵敏度高、稳定性好、响应快、寿命长、价格低等优点,广泛应用于需要定点测温的温度自动控制电路,如冰箱、空调、温室等的温控系统。
热敏电阻与简单的放大电路结合,就可检测千分之一度的温度变化,所以和电子仪表组成测温计,能完成高精度的温度测量。普通用途热敏电阻工作温度为-55℃~+315℃,特殊低温热敏电阻的工作温度低于-55℃,可达-273℃。
NTC热敏电阻器参数介绍:
【标称阻值】
标称阻值是NTC热敏电阻器设计的电阻值,常在热敏电阻器表面标出。标称阻值是指在基准温度为25℃时零功率阻值,因此又被称为电阻值R25。
【额定功率】
额定功率是指热敏电阻器在环境温度25℃、相对湿度为45%~80%及大气压力为0.87~1.07Pa的大气条件下,长期连续负荷所允许的耗散功率。
【B值范围】
B值范围(K)是负温度系数热敏电阻器的热敏指数,反映了两个温度之间的电阻变化。它被定义为两个温度下零功率电阻值的自然对数之差与这个温度倒数之差的比值。B值可用下述公式计算,即

式中,R1、R2分别是绝对温度T1、T2时的电阻值(Ω)。
【零功率电阻值】
在规定温度下测量热敏电阻器的电阻值,当由于电阻器内部发热引起的电阻值变化相对于总的测量误差来说可以忽略不计时测得的电阻值。
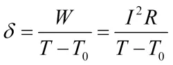
【耗散系数δ(mW/℃)】
耗散系数是指热敏电阻器消耗的功率与环境温度变化之比,即

式中,W是热敏电阻消耗的功率(mW);T是热平衡时的温度(℃);T0是周围环境温度(℃);I是在温度为T时通过热敏电阻器的电流(A);R是在温度为T时热敏电阻器的电阻值(Ω)。
【时间常数τ(s)】
时间常数τ(s)指的是热敏电阻器在零功率状态下,当环境温度由一个特定温度向另一个特定温度突变时,热敏电阻器阻值变化63.2%所需的时间。
【电阻温度系数】
电阻温度系数是指环境温度变化1℃时热敏电阻器电阻值的相对变化量。知道某一个型号热敏电阻器的电阻温度系数后,就可以估算出热敏电阻器在相应温度下的实际电阻值。
NTC热敏电阻器的价格低廉,在电子产品中被广泛应用,而且具有多种封装形式,能够很方便地应用到各种电路中。
NTC热敏电阻器根据材料、工艺不同情况,有不同的阻值和温度变化特性。
NTC热线电阻器的型号、规格很多,国外的知名厂家有日本三菱、日本TDK、日本立山、韩国的EXPAND等,国内也有不少品牌的质量也相当不错。
NTC热线电阻器的各类繁多,形状各异。负温度系数热敏电阻器的命名标准由四部分构成。其中,M表示敏感组件,F表示负温度系数热敏电阻器。有些厂家的产品,在序号之后又加了一个数字,如MF54-1,这个“-1”也属于序号,通常叫“派生序号”。其标准由各厂家自已定制。
在国内生产的一些热敏电阻器的型号中,通常还包括有该热敏电阻器的电阻值、误差等信息,如下是NTC热敏电阻器的识别:
①CWF ②□ ― ③103 ④J ⑤3380 包括如下信息。
①NTC温度传感器;
②传感头封装形式及尺寸;
a.代表环氧树脂包装;
b.代表铝壳、铜壳、不锈钢等封装
c.代表塑料壳封装;
d.代表加固定金属片;
e.代表特殊形式封闭。
③标称电阻值R25,如103=10×10 =10000Ω=10kΩ。
④标称电阻值精度代号:
F代表±1%,G代表±2%,H代表±3%,J代表±5%。
⑤B值(25℃/50℃,3380即B值为3380K)。
应用热敏电阻器时,必须对它的几个比较重要的参数进行测试。
一般来说,热敏电阻器对温度的敏感性高,所以不宜用表来测量它的阻值。这是因为万用表的工作电流比较大,流过热敏电阻器时会发热而使阻值改变。但用万用表也可简易判断热敏电阻器能否工作,具体热敏电阻器的检测方法如下:
将万用表拨到欧姆挡(视标称电阻值确定挡位),用鳄鱼夹代替表笔分别夹住热敏电阻器的两个引脚,记下此时的阻值;然后用手捏住热敏电阻器,观察万用表示数,此时会看到显示的数据(指针会慢慢移动)随着温度的升高而改变,这表明电阻值在逐渐改变(负温度系数热敏电阻器阻值会变小,正温度系数热敏电阻器阻值会变大)。
当阻值改变到一定数值时,显示数据会(指针)逐渐稳定。若环境温度接近体温,则采用这种方法就不灵。这时可用电烙铁或者开水杯靠近或紧贴热敏电阻器进行加热,同样会看到阻值改变。
这样,则可证明这只温度系数热敏电阻器是好的。
用万用表检测负温度系数热敏电阻器时,需要注意热敏电阻器上的标称阻值与万用表的读数不一定相等。这是由于标称阻值是用专用仪器在25℃的条件下测得的,
而用万用表测量时有一定的电流通过热敏电阻器而产生热量,而且环境温度不一定正是25℃,所以不可避免地会产生误差。

免责声明:
文章内容转自互联网,不代表本站赞同其观点;
如涉及内容、图片、版权等问题,请联系2644303206@qq.com我们将在第一时间删除内容!